近日,北京欧美大片ppt免费大全集成电路科学与工程学院赵巍胜/林晓阳课题组联合北京大学彭练矛/许海涛课题组,在碳纳米管(CNT)集成电路领域取得重要进展。研究团队成功开发出具有卓越抗辐照性能的碳纳米管场效应晶体管(CNTFET)集成电路。该芯片成功经受高达6 Mrad (Si)的极端辐照剂量测试,性能依然稳定可靠。相关成果以《Large-scale complementary carbon nanotube integrated circuits for harsh radiation environments》为题,发表于《Science Advances》期刊。
 
 图1 器件示意图及形貌表征
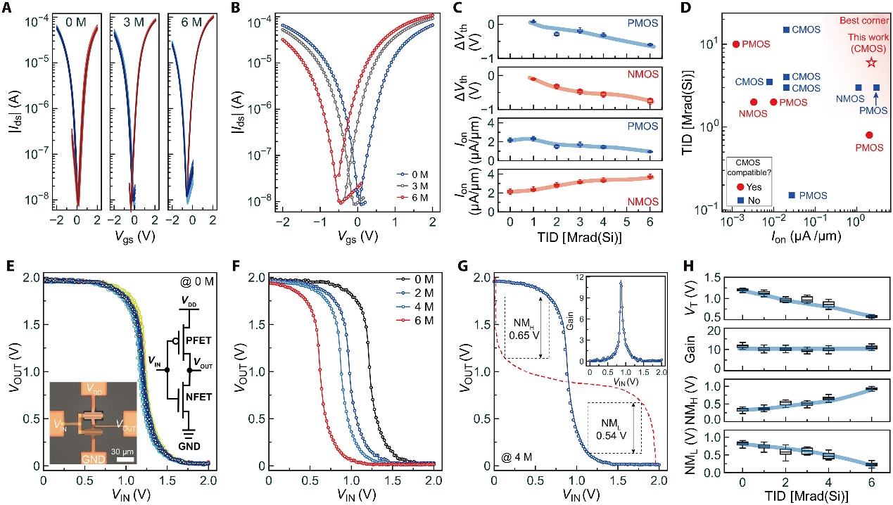
 面对深空探测、核电设施、辐射医疗等强辐射环境的严峻挑战,传统硅基集成电路即使经过复杂的抗辐照加固设计,也常常在高能粒子的持续轰击下性能退化。碳纳米管凭借其超强的化学键和独特的纳米尺度特性,被认为是构建下一代抗辐照电子器件的理想材料。本项研究通过材料、器件到电路的多维度协同优化,成功制备出具有高对称性、高均一性的CNTFET核心器件。
 
 图2互补型碳纳米管场效应晶体管
 基于此,团队构建了包括反相器、与非门和异或门在内的多种逻辑门以及具有5、11和501个阶段的环形振荡器。实验发现,在高达6 Mrad(Si)的辐射剂量下,所有器件均保持了完整的输出功能,特别是包含1004个碳纳米管场效应晶体管的501阶环形振荡器,其延迟变化很小(10.3 ± 0.8 ns)。
 
 图3 互补型碳纳米管场效应晶体管的辐照性能
 这一突破性进展,为发展面向深空、核能、医疗等极端环境应用的碳基抗辐照电子学奠定了坚实的技术基础,具有重要的科学意义和广阔的应用前景。
 
 图4 碳基功能电路的辐照性能
 北航集成电路科学与工程学院张科博士后、博士生周大明、北京碳基集成电路研究院高宁飞工程师为该论文的共同第一作者;北航集成电路科学与工程学院林晓阳教授、北京碳基集成电路研究院许海涛老师为共同通讯作者。该工作得到了国家自然科学基金、国家重点研发计划、博士后特别资助等项目的支持。
 原文链接:http://www.science.org/doi/10.1126/sciadv.adw0024
 Ke Zhang et al., Large-scale complementary carbon nanotube integrated circuits for harsh radiation environments. Sci. Adv.11,eadw0024(2025).